КОНТАКТЫ: email: vent.sp77@mail.ru
-Вентиляторы промышленные
-Вентиляторы Soler&Palau (SsP)
-Воздушно - отопительное оборудование
-Промышленные пылеуловители (пылесос)
-Фильтры для очистки воздуха
-Автономные кондиционеры
-Шестерни, звездочки (изготовление)
-Циклоны аспирационное (пылеочистное)оборудования
-Лента транспортерная
-Лента тормозная
-Набивка сальниковая
-Паронит
-Ремни
-Рукава напорные РВД
-Техпластина ТМКЩ МБС, АМС
-Цепи промышленные
-Дефлектора, клапана  воздушные, заслонки, комплектующие для вентиляционных сетей
-Индивидуальные средства защиты на производстве
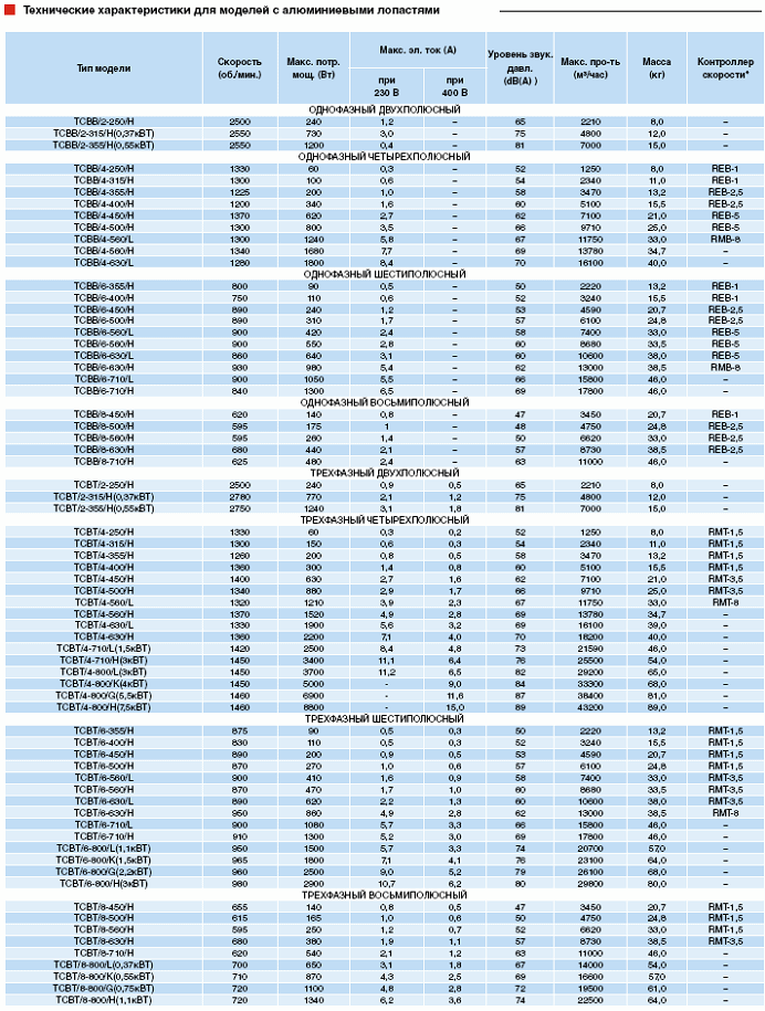
Серия COMPACT   TCBB / TCBT (Алюминиевая крыльчатка) - это осевые
вентиляторы в цилиндрическом корпусе, которые отличаются небольшими
размерами и оснащены алюминиевыми крыльчатками. При производстве
корпуса данных вентиляторов, компания Soler&Palau (S&P) использует
оцинкованную листовую сталь, которая обработана полиэфирной краской
и катафоретическим покрытием, что дополнительно защищает изделия
от коррозии.
Осевые вентиляторы в цилиндрическом корпусе серии
COMPACT TCBB / TCBT
(Алюминиевая крыльчатка) оснащаются 2-мя, 4-мя, 6-ти или 8-ми полюсными
электродвигателями. Это зависит от модели устройства
Серия COMPACT TCBB / TCBT (Алюминиевая крыльчатка) от компании Soler&Palau (S&P) оснащена электродвигателями с классом защиты IP65 (1) и классом изоляции F (2). Электродвигатели имеют встроенные термоконтакты. Параметры электропитания выглядят следующим образом:
1ф - 230 В - 50 Гц
3ф - 400 В - 50 Гц
         Серия COMPACT TCBB / TCBT (Алюминиевая крыльчатка) имеет взрывозащищенные модели. Они полностью отвечают стандартам Директивы АТЕХ для изделий с трехфазными двигателями:
         Температура, при которой осуществляется бесперебойное функционирование вентиляторов:  от -30?С до +40?С.
          Отличительные особенности вентиляторов
Компания Soler&Palau (S&P) выпускает осевые вентиляторы в цилиндрическом корпусе, которые надежно защищены от коррозии особенным катафоретическим покрытием и полиэфирной краской, которыми обработаны корпус устройства  и опора электродвигателя. Все болты выпущены из нержавеющей стали..
         Сферы применения
Осевые вентиляторы в цилиндрическом корпусе Soler&Palau (S&P) широко используются на различных торговых объектах, автостоянках, в складских помещениях, в цехах и мастерских.
         Электродвигатели
Класс защиты IP65 (1), класс изоляции F (2), со встроенными термоконтактами.
         Дополнительная информация
Стандартное направление движения воздуха "В": крыльчатка - электродвигатель; для моделей /2-315/L, /2-315/G, /2-355/J, /2-315/I стандартное направление движения воздуха "А": электродвигатель - крыльчатка.
По запросу
Направление движения воздуха "А": электродвигатель - крыльчатка
серии TRB & TREB
Описание
Все осевые вентиляторы в цилиндрическом корпусе серии TRB & TREB оснащены корпусом, который для защиты от коррозии покрыт полиэфирной краской. Крыльчатка с лопастями серповидной формы. Однофазный двигатель, IP44, Класс B, самовосстанавливающаяся тепловая защита, шарикоподшипники со смазкой до конца срока службы. Коробка с выводами из огнезащитного состава, внутри которой установлен конденсатор.
Двигатели
Наружный ротор, регулятор скорости. В зависимости от модели поставляются двух- и четырехполюсные двигатели. Электрическое питание: Для однофазных двигателей 230 В, 50 Гц
Дополнительная информация Стандартное направление движения воздуха:
Для моделей TREB: двигатель - крыльчатка (поток воздуха A). Для моделей TRB: крыльчатка - двигатель (поток воздуха B).
Серия COMPACT PBB / PBT (переносные охлаждающие вентиляторы)
Описание
Переносные осевые вентиляторы в цилиндрическом корпусе изготавливаются из катаной стали, и защищены от коррозии с помощью полиэфирной краски. Динамически сбалансированная пластмассовая крыльчатка. Однофазный (PBB) и трехфазный (PBT) двигатели, IP65, Класс F, тепловая защита. Коробка с выводами, в состав которой входят конденсатор для однофазных двигателей и электрический выключатель, устанавливается вне потока воздуха
Двигатели
Все двигатели оснащены регуляторами скорости Электрическое питание: Для однофазных двигателей 230 В, 50 Гц
Для трехфазных двигателей 230/400 В, 50 Гц или 400 В, 50 Гц
(смотрите таблицу с техническими характеристиками).
Применение
Складские помещения
Малярные работы
Продолжительная работа
ТЕЛ :(+38)0677036427 ,     (+38)0686089285.                                       (+38) 0987856187
email: vent.k20@gmail.co    vent.sp77@mail.ru